This is the beginning of my second draft of my analysis of Ephesians 1. I’ve made a couple major changes. For one, in terms of practicality, the labels +/-New & +/-Prominent were too confusing for me without the ability to actually use “+” and “-.” So I’ve made a couple changes, though the significance is the same. They’re also more commonly seen labels as well; I believe:
Topic (Top)
Focus (Foc)
Background (Bground)
Completive Information (CompInfo)
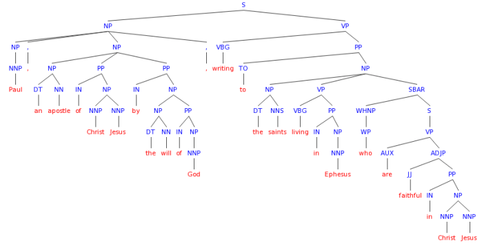
The main issue I struggled with in Ephesians 1:1 is the fact that this is a verbless clause, but as an epistolary introduction, its not a typical verbless clause. That is, the non-subject phrase cannot be considered a predicate since it predicates nothing about the subject. Functionally its more like an indirect object and semantically its a recipient. For that reason, I have not labeled it as “Predicate Link” as I described previously on Ephesians 1:3-14 for verbless clauses. This time around, I’m trying to consistently represent semantic roles on various phrases as well. The rest of the labels I described previously have stayed the same.*
Here’s the English (with fewer and different labels; parsed from HERE):
*Though it should be noted that I’m using “Comitative” at the very end much more loosely than it is typically used in Greek Grammars. I’m using it to refer to both accompaniment and association.
